FPGA based Digital World

Welcome to FPGA based Digital World.
Signal processing is much important. |
Fourier Series(FS)
Fourier series is a technique ofexpressing a periodic function in terms of sinusoids. Trigonometric Fourier series and exponential Fourier series are both popular.
According to Fourier theorem, any periodic function of frequency ¦Ø0 can be expressed as an infinite sum of sine or cosine functions with frequencies of integral multiples of ¦Ø0.
where f(t) is period function with frequency ¦Ø0=2¦Ð/T.
f(t) = f(t+nT)
Dirichlet Conditions
The condition to yield a convergent Fourier series is Dirichlet conditions(sufficient but not necessary condition):
1) f(t) is single-valued everywhere;
2) f(t) has a finite number of finite discontinuites in any period;
3) f(t) has a finite number of maxima and minima in any period;
4) for any t0,
Trigonometric Fourier Series
Equation (1) and (2) are trigonometric Fourier series, where
Note: the coefficients are calcuated from one period.
Exponential Trigonometric Fourier Series
Equation (3) is complex or exponential trigonometric Fourier series, where
or calcuated directly from f(t)
The plot of magnitude and phase of Cn versus n¦Ø0 are called complex amplitude spectrum and complex pahse spectrum of f(t).
Fourier Series of Typical Functions
1 Square wave
For N=2, it could be taken as the combination of two phasors rotaging with ¦Ø0 and 3¦Ø0, as shown below. It's similar for other Ns.
The curves of diffent N on influence of the final shape is below.
2 Rectangular Pulse Train -
3 Sawtooth wave
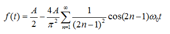
4 Triangular wave
5 Half-wave rectified sine
6 Full-wave rectified sine
7 Full-wave rectified sine
Fourier Series in Spectrum Analyzer
Spectrums of f(t) are defined as
1) Amplitude spectrum and phase spectru: plot of the amplitude An and phase §¶n versus n¦Ø0
2) Complex amplitude spectrum and complex pahse spectrum: plot of magnitude and phase of Cn versus n¦Ø0
3) Power spectrum: the plot of |Cn|*|Cn| versus n¦Ø0
Parameters An/§¶n and Cn could also be acquried via Fourier tranform.
Sinusoidal Signal Properties
1) Linear operation of Sinusoidal signals with the same frequency: still sinusoidal with same freqeuncy
2) Linear operation of Sinusoidal signals with the different frequencies: non-sinusoidal
| Altera/Intel | Xilinx | Lattice | Learn About Electronics |
| MircoSemi | Terasic | Electric Fans |
| All rights reserved by fpgadig.org |